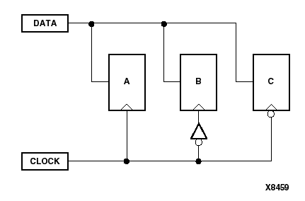
Figure 4.15 Problematic Timegroup Definition

Problematic Timegroup Definition figures/x8459.gif